Вернуться к содержанию учебника
Выберите год учебника
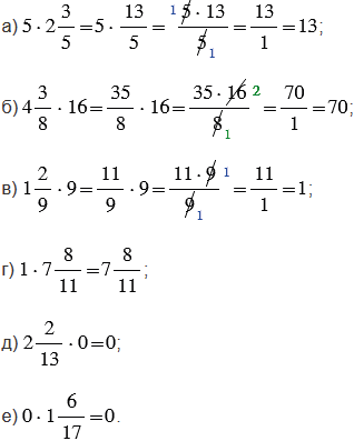
№2.277 учебника 2023-2024 (стр. 82):
Найдите значение произведения:

№2.277 учебника 2021-2022 (стр. 77):
Вычислите значение произведения
. Выполните проверку, переведя эти числа в десятичные дроби.
№2.277 учебника 2023-2024 (стр. 82):
Вспомните:
№2.277 учебника 2021-2022 (стр. 77):
Вспомните:
№2.277 учебника 2023-2024 (стр. 82):

Пояснения:
Чтобы выполнить умножение смешанных чисел, нужно записать эти числа в виде неправильных дробей, а затем воспользоваться правилом, согласно которому, чтобы умножить обыкновенную дробь на натуральное число, нужно ее числитель умножить на это число, а знаменатель оставить без изменения.
Чтобы преобразовать смешанное число в неправильную дробь, надо целую часть числа умножить на знаменатель дробной части и к полученному произведению прибавить числитель дробной части; эту сумму записать как числитель неправильной дроби, а в ее знаменатель записать знаменатель дробной части смешанного числа.
Чтобы вычисления были проще, не надо перемножать сразу, лучше сделать это после сокращения.
Сократить дробь - значит, разделить ее числитель и знаменатель на одно и то же число (наибольший общий делитель).
Дробь, у которой в знаменателе стоит единица, равна своему числителю.
№2.277 учебника 2021-2022 (стр. 77):

| × | 0 | 7 | 5 | ||
| 0 | 8 | 8 | |||
| + | 6 | 0 | 0 | ||
| 6 | 0 | 0 | |||
| 0 | 6 | 6 | 0 | 0 |
Пояснения:
Произведением двух обыкновенных дробей является дробь, числитель которой равен произведению числителей, а знаменатель - произведению знаменателей.
Любую обыкновенную дробь, у которой в знаменателе стоит единица с нулями, можно записать в виде десятичной дроби (количество знаков после запятой совпадает с количеством нулей в знаменателе обыкновенной дроби).
Чтобы перемножить две десятичные дроби, надо:
1) записать дроби в столбик, как два натуральных числа не обращая внимание на запятые;
2) умножить их как натуральные числа, не обращая внимание на запятые;
3) в полученном произведении отделить запятой справа столько цифр, сколько их стоит после запятых в обоих множителях вместе.
Вернуться к содержанию учебника