Задание 1015 - ГДЗ Геометрия 7-9 класс. Атанасян. Учебник

Старая и новая редакции

Вернуться к содержанию учебника

1012 1013 1014 1015 1016 1017 1018

Вопрос

Выберите год учебника

№1015 учебника 2013-2022 (стр. 251):

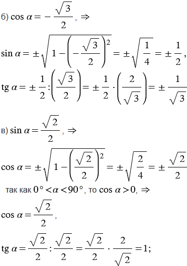
Найдите , если:

а) ; б) ; в)   и ; г) и .


№1015 учебника 2023-2024 (стр. 252):

Даны векторы . Укажите среди этих векторов попарно коллинеарные векторы.

Подсказка

№1015 учебника 2013-2022 (стр. 251):


№1015 учебника 2023-2024 (стр. 252):

Вспомните:

  1. Что такое вектор.
  2. Какие векторы называются коллинеарными.
  3. Лемму о двух коллинеарных векторах.
  4. Координаты вектора.

Ответ

№1015 учебника 2013-2022 (стр. 251):


№1015 учебника 2023-2024 (стр. 252):


Вернуться к содержанию учебника