Задание 1283 - ГДЗ Математика 6 класс. Виленкин, Жохов, Чесноков. Учебник. Страница 225

Старая и новая редакции

Вернуться к содержанию учебника

1280 1281 1282 1283 1284 1285 1286

Вопрос

№1283 учебника 2011-2017 (стр. 225):

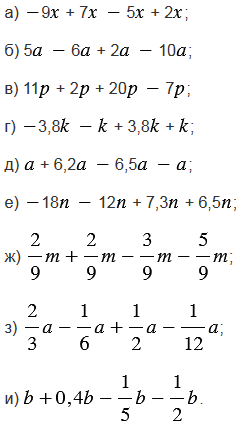
Сложите подобные слагаемые:

Подсказка

№1283 учебника 2011-2017 (стр. 225):

Ответ

№1283 учебника 2011-2017 (стр. 225):


Вернуться к содержанию учебника